芝浦工大 高性能ウェアラブル体温発電素子の低コスト製造 断熱性メラミンスポンジの充填によって高出力と柔軟性を実現
芝浦工業大学(東京都港区/学長 山田純)工学部 苗蕾教授(材料工学科/先進国際課程)は、体温と外気温のわずかな温度差で安定して発電できる装置とその製造方法を開発しました。
ウェアラブル電子デバイスの急速な普及に即して、ゼーベック効果を利用して人体熱で発電することができるフレキシブル熱発電機の開発が期待されています。しかし、従来型の熱電変換モジュールは重くて柔軟性に欠け、発電性能も低い等の課題がありました。苗教授は、断熱性のメラミンスポンジを充填した斬新なモジュール構造を考案して、適切な熱制御により体温と外気温との温度差の維持を可能にし、安定した出力を持つ柔軟かつ軽量・通気性のある低コスト熱発電素子の創製に成功しました。(特願2021-085310号)
ポイント
・計算機シミュレーションによる熱電対の形状と充填率の設計、及びメラミンスポンジの断熱効果で温度差の安定維持を実現
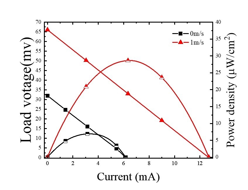
・5K温度差で静止時7μW/cm2、歩行時(風速1m/s)29μW/cm2の出力密度を実現
・N型・P型の熱電対をスポンジ基材に貫通させ、特別な配置によって縦横方向ともに高柔軟性を実現
・面積:3.61cm2、厚み:5mm、重さ:1.75g、曲げ張力:0.03N、コスト:6.5US$


研究概要
ウェアラブル熱電発電機(w-TEG)は、体温を連続的に電気に変換して電子機器を駆動することができます。しかし、熱電材料の発電効率が悪いこと、着用時の温度差が小さいこと、重いこと、柔軟性が必要であることなどが、w-TEGの応用を妨げています。また、従来の数値解析に基づく構造設計では、強制冷却を用いたため、横方向の熱伝達が無視されていました。本研究では、有限要素シミュレーションを用いて、実用化のための糸口となる要素を見つけ出し、最適なw-TEGを設計しました。超低熱伝導率(0.03W/mK)のメラミンスポンジを封止材として用いることで、冷却用ヒートシンクを使わず、優れた曲げ耐久性、軽量性、通気性、低コスト性を実現した新しいπ型w-TEGを作製しました。
実証実験では、わずかな温度差(5K)で静止時7μW/cm2、歩行時(風速1m/s)29μW/cm2を発電することを確認し、従来品に用いられるPDMSより柔軟性もがあり、曲げ張力が1/5程度でありました。今回、面積3.61cm2、厚み5mm、量さ1.75g、曲げ張力0.75g、コスト6.5USドルほどでスマートウォッチを駆動できる熱発電機の製造に成功しました。

今後の展開
半導体や熱電デバイス関連企業と共同し、微小な電源装置として、具体的な充電機器への適用を目指して設計・開発を進めていきます。
芝浦工業大学とは
工学部/システム理工学部/デザイン工学部/建築学部/大学院理工学研究科
https://www.shibaura-it.ac.jp/
日本屈指の海外学生派遣数を誇るグローバル教育と、多くの学生が参画する産学連携の研究活動が特長の理工系大学です。東京都とさいたま市に3つのキャンパス(芝浦、豊洲、大宮)、4学部1研究科を有し、約9千人の学生と約300人の専任教員が所属。創立100周年を迎える2027年にはアジア工科系大学トップ10を目指し、教育・研究・社会貢献に取り組んでいます。




