国際学会「第13回 Pan-Pacific Continence Society」にて 世界初・当社システムによる自宅や施設のトイレに センサを取り付けるだけで使える排尿モニタリングの 測定精度に関する研究成果を発表しました
サイマックス株式会社(以下 サイマックス、代表取締役社長:鶴岡 マリア)が開発した尿による健康モニタリングシステム「self-health monitoring system in urine」(以下 s-HMSU)について、国立大学法人琉球大学(琉球大学)が実施した測定精度検証を目的とした研究成果が2018年10月18日~20日に開催された「第13回 Pan-Pacific Continence Society (PPCS) Meeting」(以下 PPCS 2018)にて発表されました。

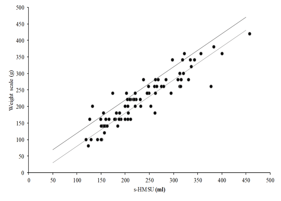
s-HMSUは、世界初、既存のトイレにセンサーを取り付け、トイレでいつも通り排尿をするだけで排尿モニタリングができるシステムです。本研究の結果、s-HMSUでの測定結果と、実際の排尿量との相関は0.902と高い値を示し、排尿モニタリングシステムとして信頼性の高いシステムであることが証明されました。
今後、s-HMSUが実現した全自動の排尿モニタリングシステムによって、患者負担の軽減や医療従事者の負担軽減、院内感染対策への貢献が期待されています。
第13回 Pan-Pacific Continence Society 概要
開催国:台湾
会期 :2018/10/18~2018/10/20
領域 :腎臓科、泌尿器科
原題 :Validation of a novel self-health monitoring system in urine in Kumejima Digital Health Project(久米島デジタルヘルスプロジェクトにおける初の尿を使ったセルフヘルスモニタリングシステムの検証)
発表内容
原題:Validation of a novel self-health monitoring system in urine in Kumejima Digital Health Project
著者:Minoru Miyazato1, Koji Yonemoto2,3, Asuka Ashikari1, Seiichi Saito1, Kiyoto Yamashiro4,5, Moriyuki Uehara4,5, Hiroaki Masuzaki5, Hajime Ishida6, and Masayuki Matsushita7
- Department of Urology, Graduate School of Medicine, University of the Ryukyus, Okinawa, Japan
- Advanced Medical Research Center, Faculty of Medicine, University of the Ryukyus
- Division of Global Environmental Health, School of Health Sciences, Faculty of Medicine, University of the Ryukyus
- Kumejima Public Hospital
- Division of Endocrinology, Diabetes and Metabolism, Hematology, Rheumatology (Second Department of Medicine)
- Department of Human Biology and Anatomy
- Department of Molecular and Cellular Physiology

Figure. Scatter plots, showing the linear interval (y=x ± 20) weight scale (g) and s-HMSU (ml) in total (n=18, 80 trials recorded).
サイマックスが開発した「s-HMSU」とは?
s-HMSUはサイマックスが開発した、世界初・既存のトイレに取り付け可能な全自動の排尿モニタリングシステムです。一般的なトイレに取り付け可能であるため、自宅での排尿モニタリング(Home uroflowmetry)を実現するものです。
s-HMSUは以下の3つの特徴を備えます。
- 既存の便器に、簡易に取り付けることができるセンサー。
- 自動で排尿を検知して記録をするため、使用者は普段通りトイレで排尿をするだけで容易に使える。不特定多数が使用するトイレにおいても利用可能。
- 使用者は排尿後、約1分で測定結果を専用アプリを介して受け取ることができる。
記録項目:
● 排尿量(mL) :VV
● 平均尿流量(mL/s):Qave
● 排尿時間(s) :VT
s-HMSUに期待される医療業界への影響
s-HMSUは、排尿障害をはじめとする泌尿器の異常を持つ患者および泌尿器科医や看護師などの医療従事者に貢献する、全自動の排尿モニタリングシステムです。
「排尿の問題」は患者のQoL(生活の質)を大きく低下させるものですが、その患者数は多く、今後さらに増加することが予測されています。40歳以上の年代層で810万人(12.4%)が過活動膀胱を、 尿失禁や尿勢低下は、それぞれ2,100万人(31.8%)、2,500万人(37.9%)もの人が有していると言われています。(*1)日本を含む高齢化が進む国々においては、この割合は更に増加していくことが予測されています。現状では、本人自身が「年のせい」としてしまい医療機関を受診しないことも多く、かかりつけ医でも具体的な治療が施されていないことも多く見受けられます。しかしながら、適切な診断と治療を行えば、多くの場合、排尿の問題は改善し、患者のQoLを向上させることができます。
「排尿の問題」に医師がアプローチをする際、排尿量や排尿時間などの排尿記録が用いられます。s-HMSUは全自動の排尿モニタリングシステムで、患者および医療従事者の負担を以下のように軽減することができます。
(*1):本間之夫, 柿崎秀宏, 後藤百万, 武井実根雄, 山西友典, 林邦彦. 排尿に関する疫学的研究. 日本排尿機能学会 雑誌14:266-277, 2003
(1) s-HMSUによる全自動の排尿記録は、患者負担を大きく軽減する
排尿障害を持つ方は「排尿日誌」と呼ばれる排尿の記録を24時間つけることで、泌尿器科などの専門医より適切な対処を受けることができます。
現在の排尿日誌は、患者本人が、最低2~3日間24時間、トイレに行った時間と排尿量を記録します。目盛のついた400~500mlの紙コップを手渡し、1回ごとに紙コップの目盛をみて排尿量を読み取ることで排尿量を測り、排尿日誌に記入します。このように、従来の排尿日誌は、患者の負担が大きく、また情報の正確性が担保されるものではありません。
s-HMSUは、既存の自宅のトイレに容易に取り付けることができ、いつも通り排尿をするだけで排尿量や時間を全自動で計測し、記録することができます。これにより、患者負担を大きく軽減することが期待できます。また、全自動測定によって記録ミスなどを防ぐことができ、より正確な情報を医師が取得することができます。
(2) s-HMSUによる全自動の排尿モニタリングは、院内感染対策に貢献する
泌尿器科の患者をはじめとして院内で排尿量を記録する際は、一般的に採尿カップに尿をいれることでカップの目盛りを見て排尿量を測ります。s-HMSUは、このときに発生する医療従事者の作業軽減をはじめとして、採尿カップの洗浄や尿の廃棄作業などの後処理を不要にすることで、院内感染の原因を減らし、院内感染リスクの低減に貢献することができます。
(3) 泌尿器や循環器疾患の早期発見など、新たな医学的発見につながる
これまでの排尿記録は、基本的には排尿障害があると医師が診断した後に記録を開始するため健常者や境界型の方の情報が少なく、また記録そのものが患者のアドヒアランスの程度に依存するため正確性に欠けることが指摘されていました。今後、s-HMSUによって取得される自宅での自然な排尿モニタリング情報を分析することにより、泌尿器や循環器疾患の早期発見などに貢献する医学的な発見が期待されます。
サイマックスが提供する「トイレで体調チェックサービス」とは
サイマックスは、世界初の小型かつ低価格のトイレ後付型分析装置と健康モニタリングサービスを開発し、日頃の体調管理サービスとして提供しています。このデバイスは、簡単に自宅や施設のトイレに設置することができ、自動で排泄物の成分分析を行います。利用者は、専用アプリを用いてスマートフォンからいつでも分析結果を見ることができます。
サイマックス株式会社 会社概要
サイマックス株式会社は「すべての人々が健康で豊かな生活を送れる社会を実現する」ことを目的として、2014年6月16日に設立されました。いつも通りの生活を送りながら簡単に検査を行うことができるサービスを提供し、早期発見と早期治療を促進することで、健康上の都合でそれまでの生活が突然壊れてしまうような状況を無くしたいと考えています。多くの方々は、自覚症状がなければ積極的に通院することはありません。ましてや、仕事や家事・育児に忙しい方が時間を確保することは決して容易ではありません。誰でも簡単に使えるヘルスケアサービスを提供することによって、世界中の誰もが健康不安なく、それぞれの夢の実現に邁進できる豊かな人生を実現することを支援します。
商号 : サイマックス株式会社
代表者 : 代表取締役社長 鶴岡 マリア
所在地 : 〒125-0031 東京都葛飾区西水元1丁目16番3号
設立 : 2014年6月
事業内容: ヘルスモニタリングデバイスおよびサービスの開発・提供
URL : http://symax.jp





